公開日 2015/03/15
更新日 2021/12/17
二重根号・外し方のコツ!|センター数学
今日は数学1で扱われる2重根号の外し方を扱います。
忘れがちな部分なので、受験生を教えている先生方は必見です。
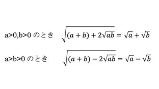
公式

導出は両辺を2乗すれば自明ですが、いちいち導出していると時間がもったいないので、きちんと覚えておきましょう。
ポイントになるのは"2"です。根号の中の根号に2がついていないと、この公式は使えません。

では実際に練習問題を扱って行きましょう。
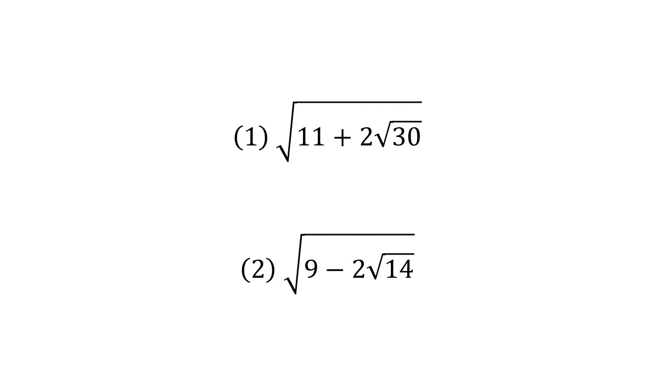
<簡単なもの>

これらは前述の公式に当てはめるだけでよいです。

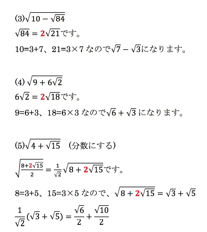
<少し難しいもの>

数学指導の求人もたくさん!
個別指導の塾講師バイト求人はこちら!↓
